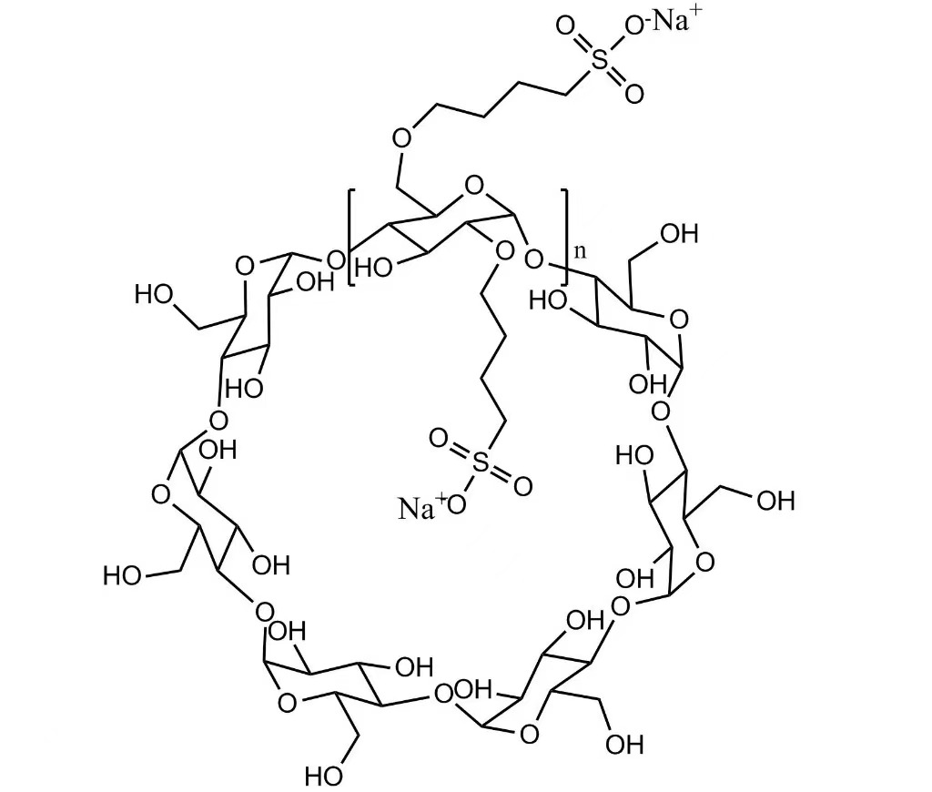
انجیکشن سلفوبوٹیل ایتھر بیٹا سائکلوڈیکسٹرین والدین کی دوائیوں کی تشکیل کے ل a ایک پریمیم ایکسپیئنٹ ہے۔ ژیان ڈیلی بائیو کیمیکل مستقل معیار اور تکنیکی مدد کے ساتھ اعلی طہارت SBEβCD فراہم کرتا ہے۔ نمونے اور مصنوعات کی تفصیلی معلومات کے لئے آج ہی ہم سے رابطہ کریں۔
انجیکشن سلفوبوٹیل ایتھر بیٹا سائکلوڈیکسٹرین.انجیکشن اور پیرنٹریل منشیات کی تشکیل. یہ ناقص گھلنشیل فعال دواسازی کے اجزاء (APIs) کی گھلنشیلتا ، استحکام ، اور جیوویویلیبلٹی کو بڑھاتا ہے ، جس سے مستحکم شمولیت کمپلیکس تشکیل دیتے ہیں جو منشیات کی مستقل فراہمی اور علاج کی کارکردگی کو یقینی بناتے ہیں۔
نس ، انٹرماسکلر ، اور subcutaneous ایپلی کیشنز کے لئے موزوں ،sbeβCDبارش کو روکتا ہے ، کیمیائی انحطاط کو کم کرتا ہے ، اور آنکھوں کے حل ، ناک کے سپرے اور دیگر مائع فارمولیشنوں میں حساس API کی حمایت کرتا ہے۔ اس کی بہترین پانی کی گھلنشیلتا ، کم زہریلا ، اور بائیوکمپیٹیبلٹی اس کو تحقیق ، کلینیکل ترقی ، اور تجارتی انجیکشن مصنوعات کے ل a ایک ترجیحی انداز بناتی ہے۔
ژیان ڈیلی بائیو کیمیکل انڈسٹری کمپنی ، لمیٹڈ، 1999 میں قائم کیا گیا ، اس میں 26 سال سے زیادہ کا تجربہ ہے جس میں سائکلوڈیکسٹرین مشتق پیدا ہوتا ہے جس میں ایس بی ای سی ڈی اور ہائیڈرو آکسیپروپیل بیٹاڈیکس شامل ہیں۔ کمپنی دواسازی ، ویٹرنری ، اور کاسمیٹک مارکیٹوں کے لئے سخت کوالٹی کنٹرول ، تکنیکی مدد ، اور قابل اعتماد عالمی فراہمی کے ساتھ مستقل اعلی طہارت کی مصنوعات مہیا کرتی ہے۔ تجزیہ کے سرٹیفکیٹ (COA) ، تکنیکی اعداد و شمار ، اور نمونے کی تشخیص آپ کی تشکیل کی ترقی کی حمایت کے لئے دستیاب ہیں۔
نمونے ، تکنیکی ڈیٹا ، یا کے لئے کوٹیشن کی درخواست کرنے کے لئے آج ہی ہم سے رابطہ کریںانجیکشن ایبل سلفوبوٹیل ایتھر بیٹا سائکلوڈیکسٹرین (SBEβCD)اور آپ کے انجیکشن فارمولیشنوں کی گھلنشیلتا ، استحکام اور کارکردگی کو بہتر بنائیں۔

بیٹاڈیکس سلفوبوٹیل ایتھر سوڈیم کاس نمبر 182410-00-0
سلفوبوٹیل ایتھر بیٹا سائکلوڈیکسٹرین سوڈیم
بیٹاڈیکس سلفوبوٹیل ایتھر سوڈیم انجیکشن گریڈ
بیٹےڈیکس سلفوبوٹیل ایتھر سوڈیم ایس بی ای سی ڈی انجیکشن گریڈ منشیات کی تشکیل کے لئے
بیٹاڈیکس سلفوبوٹیل ایتھر سوڈیم سی اے ایس 182410-00-0
ڈی ایم ایف بیٹاڈیکس سلفوبوٹیل ایتھر سوڈیم 182410-00-0