انڈسٹری نیوز

محلولیت اور استحکام میں اضافہ کے لئے سائکلوڈیکسٹرین پر مبنی حل

محلولیت اور استحکام میں اضافہ کے لئے سائکلوڈیکسٹرین پر مبنی حل

ہائڈروکسیپروپائل بیٹاڈیکس اور بیٹاڈیکس سلفوبوٹیل ایتھر سوڈیم کا تکنیکی جائزہ

سائکلوڈیکسٹرین کو ناقص گھلنشیل یا کیمیائی طور پر حساس مرکبات کی گھلنشیلتا اور استحکام کو بہتر بنانے کی صلاحیت کے لئے وسیع پیمانے پر پہچانا جاتا ہے۔ ان کے منفرد چکرمک سالماتی ڈھانچے کی وجہ سے ، سائکلوڈیکسٹرینز اور ان کے مشتقات دواسازی ، کیمیائی اور متعلقہ تشکیل والے شعبوں میں ایک اہم عملی کارآمد بن چکے ہیں۔ تکنیکی اور باقاعدہ تقاضوں میں اضافے کے جواب میں ، ژیان ڈیلی بائیو کیمیکل نے اپنے کلیدی سائکلوڈیکسٹرین مشتق افراد کے لئے تکنیکی دستاویزات اور مصنوعات کی حمایت کو مزید بہتر بنایا ہے۔ہائڈروکسیپروپائل بیٹاڈیکس (HPBCD) اور Betadex سلفوبوٹیل ایتھر سوڈیم (SBECD)۔


سائکلوڈیکسٹرین کی ساختی خصوصیات اور فعال کارکردگی

cyclodextrins cyclic oligosaccharides ہیں جو گلوکوز یونٹوں پر مشتمل ہیں جو α-1،4 glycosidic بانڈز سے منسلک ہیں۔ ان کے سالماتی فن تعمیر میں ایک ہائیڈرو فیلک بیرونی سطح اور نسبتا hy ہائیڈرو فوبک داخلی گہا شامل ہے ، جس سے مہمانوں کے انووں کی ایک وسیع رینج کے ساتھ شمولیت کمپلیکس کی تشکیل کو قابل بناتا ہے۔ سائکلوڈیکسٹرین ڈھانچے کی کیمیائی ترمیم سے پانی کے گھلنشیلتا کو نمایاں طور پر بڑھایا جاسکتا ہے اور اطلاق کی استعداد کو وسیع کیا جاسکتا ہے۔


ہائڈروکسیپروپیل بیٹاڈیکس (HPBCD)


ہائڈروکسیپروپائل بیٹاڈیکس ایک کیمیائی طور پر ترمیم شدہ β-cylodextrin ہے جو آبائی سائکلوڈیکسٹرینز کی محدود گھلنشیلتا پر قابو پانے کے لئے ڈیزائن کیا گیا ہے۔ اس کی بہتر پانی کی گھلنشیلتا اور سازگار مطابقت HPBCD کو ایپلی کیشنز کے ل suitable موزوں بناتی ہے جس میں متنوع نظاموں میں موثر گھلنشیلائزیشن ، استحکام ، اور تشکیل لچک کی ضرورت ہوتی ہے۔


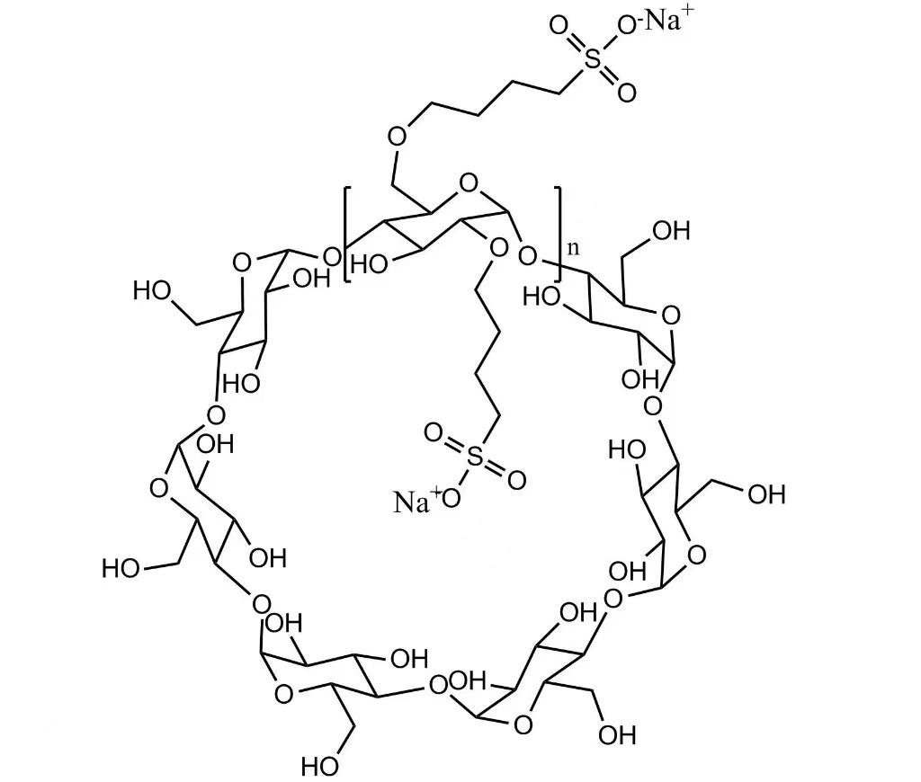
Betadex sulfobutyl ایتھر سوڈیم (SBECD)


بیٹاڈیکس سلفوبوٹیل ایتھر سوڈیم ایک انیونک سائکلوڈیکسٹرین مشتق ہے جس کی خصوصیت سلفوبوٹیل ایتھر متبادل ہے۔ یہ ڈھانچہ مخصوص مرکبات کے ساتھ الیکٹرو اسٹاٹک تعامل کو بڑھاتا ہے ، جس میں بہتر گھلنشیلتا ، پیچیدہ استحکام ، اور زیادہ مطالبہ کرنے والی ایپلی کیشنز میں تشکیل مضبوطی کی حمایت کی جاتی ہے۔

معیاری مصنوعات کی معلومات اور تکنیکی مدد

فارمولیشن ڈویلپمنٹ ، معیار کی تشخیص ، اور خریداری کے عمل کو بہتر مدد کے ل x ، ژیان ڈیلی بائیو کیمیکل نے HPBCD اور SBECD کے لئے مصنوع کی معلومات کو منظم طریقے سے اپ ڈیٹ کیا ہے ، جس میں:


  • واضح طور پر بیان کردہ اور معیاری مصنوعات کی وضاحتیں اور تجزیاتی پیرامیٹرز
  • تجزیہ کے بیچ سے متعلق سرٹیفکیٹ (COA) سراغ لگانے اور معیار کی توثیق کو یقینی بنانے کے لئے
  • ہینڈلنگ ، اسٹوریج ، اور عام اطلاق کے عام تحفظات سے خطاب کرنے والے تکنیکی عمومی سوالنامہ
  • موثر تکنیکی جائزہ اور انتخاب کی سہولت کے لئے تیار کردہ مصنوعات کے خلاصے


ان بہتریوں کا مقصد شفافیت کو بڑھانا ، تشخیص کی ٹائم لائنز کو کم کرنا ، اور سپلائی سائیکل میں مستقل مصنوعات کی کارکردگی کی حمایت کرنا ہے۔


مینوفیکچرنگ کا تجربہ اور کوالٹی اشورینس

1999 میں قائم کیا گیا ، ژیان ڈیلی بائیو کیمیکل سائکلوڈیکسٹرین مشتقات کی تیاری میں 26 سال کا تجربہ لاتا ہے۔ کمپنی ہائڈروکسیپروپائل بیٹاڈیکس اور بیٹاڈیکس سلفوبوٹیل ایتھر سوڈیم کی کنٹرول شدہ پیداوار پر مرکوز ہے ، جس میں عمل میں مستقل مزاجی ، بیچ ٹو بیچ کی وشوسنییتا ، اور طویل مدتی سپلائی استحکام پر زور دیا گیا ہے۔ ساختہ کوالٹی مینجمنٹ کے طریقوں سے صارفین کی تکنیکی ، ریگولیٹری اور سورسنگ کی ضروریات کی حمایت ہوتی ہے۔


درخواست کا دائرہ کار اور تکنیکی تعاون

سائکلوڈیکسٹرین شمولیت اور استحکام کے طریقہ کار کی بنیاد پر ، HPBCD اور SBECD متعدد تکنیکی شعبوں میں قابل اطلاق ہیں ، جن میں دواسازی سے متعلق فارمولیشنز ، خصوصی کیمیکلز ، ویٹرنری مصنوعات ، اور دیگر سسٹم شامل ہیں جن میں بہتر گھلنشیلتا اور استحکام کی ضرورت ہوتی ہے۔ ژیان ڈیلی بائیو کیمیکل ایپلیکیشن پر مبنی مواصلات اور تکنیکی تعاون کے ذریعہ شراکت داروں کے ساتھ مشغول رہتا ہے تاکہ تیار کردہ تشکیل کی ضروریات کی تائید کی جاسکے۔


ژیان ڈیلی بائیو کیمیکل انڈسٹری کمپنیوں کے بارے میں

1999 میں قائم کیا گیا ، الیون ڈیلی بائیو کیمیکل انڈسٹری کمپنیاں عالمی صارفین کو ہائیڈروکسیپروپائل بیٹاڈیکس (ایچ پی بی سی ڈی) اور بیٹاڈیکس سلفوبوٹیل ایتھر سوڈیم (ایس بی ای سی ڈی) کی فراہمی ، سائکلوڈیکسٹرین مشتق افراد کا ایک خصوصی کارخانہ دار ہے۔ مصنوعات کی مستقل مزاجی ، واضح وضاحتیں ، اور عملی تکنیکی مدد پر دیرینہ توجہ کے ساتھ ، کمپنی قابل اعتماد سائکلوڈیکسٹرین پر مبنی حل فراہم کرنے کے لئے پرعزم ہے۔


اگر آپ چاہیں تو ، میں یہ بھی کرسکتا ہوں:


  • گوگل SEO (تکنیکی لہجے کو کم کیے بغیر اس کو مزید بہتر بنائیں)
  • اسے پروڈکٹ پیج "تکنیکی اپ ڈیٹ" ورژن میں کنڈینس کریں
  • اسے ریگولیٹری / کوالٹی پر مبنی صارفین کے لئے ڈھالیں


بس مجھے بتائیں کہ آپ اسے کہاں شائع کرنے کا ارادہ رکھتے ہیں۔


انکوائری بھیجیں۔


icon
X
ہم آپ کو براؤزنگ کا بہتر تجربہ پیش کرنے ، سائٹ ٹریفک کا تجزیہ کرنے اور مواد کو ذاتی نوعیت دینے کے لئے کوکیز کا استعمال کرتے ہیں۔ اس سائٹ کا استعمال کرکے ، آپ کوکیز کے ہمارے استعمال سے اتفاق کرتے ہیں۔ رازداری کی پالیسی
مسترد قبول کریں