کلیدی الفاظ:بیٹاڈیکس سلفوبوٹیل ایتھر سوڈیم
بیٹاڈیکس سلفوبوٹیل ایتھر سوڈیمدواسازی کی ایکسیپینٹ ٹکنالوجی میں انقلاب برپا کیا ہے۔ یہ انتہائی پانی میں گھلنشیل سائکلوڈیکسٹرین مشتق فعال دواسازی کے اجزاء (APIs) کے ساتھ مستحکم شمولیت کمپلیکس کی تشکیل کے قابل بناتا ہے ، جس سے یہ ممکن ہوجاتا ہے کہ وہ ایسی دوائیں تشکیل دے سکے جو پہلے ناقص گھلنشیلتا اور عدم استحکام کی وجہ سے محدود تھیں۔
انجیکشن ایبل منشیات کے گھلنشیلتا ، بایوویلیبلٹی ، اور سیفٹی کو نمایاں طور پر بہتر بنانے سے ، بیٹےڈیکس سلفوبوٹیل ایتھر سوڈیم جدید منشیات کی ترسیل کے نظام میں ایک اہم جز بن گیا ہے۔ اس کا انوکھا مالیکیولر ڈھانچہ ہائیڈروفوبک منشیات کے انووں کو موثر سالماتی encapsulation کے ذریعے طبی لحاظ سے قابل عمل بننے کی اجازت دیتا ہے۔
ناقص گھلنشیل مرکبات منشیات کی ترسیل کے نظام کو چیلنج کرتے رہتے ہیں۔ روایتی تشکیل کی حکمت عملی اکثر مناسب گھلنشیلتا یا استحکام حاصل کرنے میں ناکام ہوجاتی ہے ، جس سے بہت سارے ذہین منشیات کے امیدواروں کو مریضوں تک پہنچنے سے روکتا ہے۔ جدید دواسازی کی تحقیق مریضوں کی حفاظت کو برقرار رکھنے کے دوران ان حدود کو دور کرنے کے لئے اعلی درجے کی ایکسپیئینٹ پر تیزی سے انحصار کرتی ہے۔

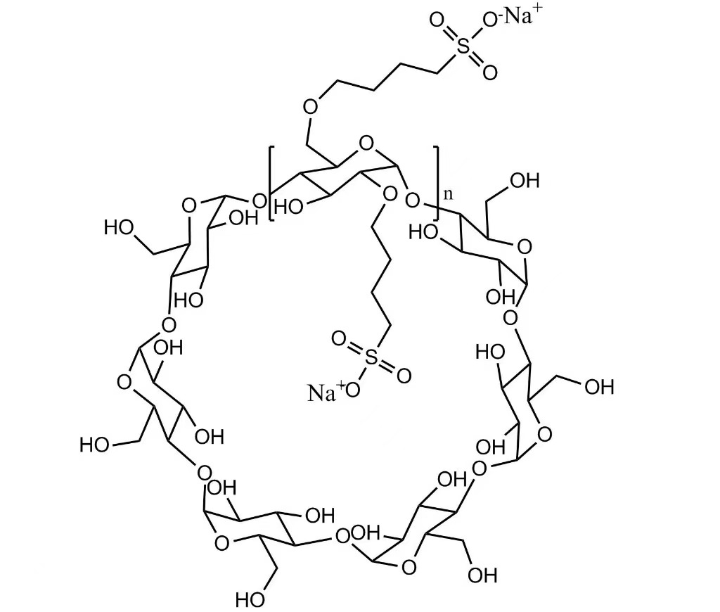
سلفوبوٹیل ایتھر سائکلوڈیکسٹرینبیٹا سائکلوڈیکسٹرین ریڑھ کی ہڈی پر سلفوبوٹیل گروپوں کو متعارف کروا کر تخلیق کیا گیا ایک انیونک سائکلوڈیکسٹرین مشتق ہے۔ اس ساختی ترمیم سے مقامی سائکلوڈیکسٹرین کے مقابلے میں ڈرامائی طور پر آبی محلولیت میں اضافہ ہوتا ہے۔
اس کا استعمال منشیات کے انووں کے ساتھ غیر ہم آہنگی شمولیت کمپلیکس تشکیل دیتا ہے۔ سائکلوڈیکسٹرین کی ہائیڈروفوبک اندرونی گہا لیپوفیلک APIs کی میزبانی کرتی ہے ، جبکہ ہائیڈرو فیلک بیرونی سطح پانی کی گھلنشیلتا کو برقرار رکھتی ہے۔ یہ انکپسولیشن فارماکوکینیٹکس کو بہتر بناتا ہے اور حساس مرکبات کو کیمیائی انحطاط سے بچاتا ہے۔
متبادل کی ڈگری براہ راست محلولیت کی کارکردگی کو متاثر کرتی ہے۔ اعلی متبادل کی سطح محلولیت کو بہتر بناتی ہے ، لیکن زیادہ سے زیادہ کارکردگی کے لئے حفاظت کے ساتھ توازن کو متوازن کرنے کی ضرورت ہوتی ہے۔
سائنسی مطالعات سے پتہ چلتا ہے کہ بیٹاڈیکس سلفوبوٹیل ایتھر سوڈیم بہت سے روایتی سولوبیلائزرز کے مقابلے میں کم ہیمولوٹک سرگرمی اور گردوں کے جمع کو کم کرتا ہے ، جس سے یہ بار بار والدین کی انتظامیہ کے لئے موزوں ہوتا ہے۔
بہت سے اینٹی فنگل ایجنٹ پانی کے ناقص گھلنشیلتا میں مبتلا ہیں ، ان کے انجیکشن استعمال کو محدود کرتے ہیں۔ بیٹاڈیکس سلفوبوٹیل ایتھر سوڈیم مستحکم کمپلیکس جیسے منشیات جیسے ووریکونازول اور پوساکونازول بناتا ہے ، جس سے موثر انجیکشن فارمولیشن کو قابل بناتا ہے۔
محلولیت میں بہتری سے پرے ، پیچیدگی پییچ رواداری اور اسٹوریج استحکام میں اضافہ کرتی ہے ، شیلف زندگی کو بڑھا دیتی ہے اور ناگوار کوکیی انفیکشن کے علاج معالجے کے نتائج کو بہتر بناتی ہے۔
اینٹی ویرل منشیات میں اکثر گھلنشیلتا رکاوٹوں کا سامنا کرنا پڑتا ہے جو والدین کی ترسیل پر پابندی عائد کرتے ہیں۔ سلفوبوٹیل ایتھر سائکلوڈیکسٹرین APIs کو انحطاط سے بچانے اور کنٹرول شدہ رہائی کو چالو کرکے مستحکم انجیکشن فارمولیشن کو قابل بناتا ہے۔
ریمیڈیسویر فارمولیشنوں کی کامیابی شدید وائرل انفیکشن کے علاج میں سائکلوڈیکسٹرین پر مبنی محلولیت کی اہمیت کو اجاگر کرتی ہے جہاں تیز اور قابل اعتماد منشیات کی فراہمی ضروری ہے۔
بہت سے اینٹینسیسر ایجنٹ کم آبی محلولیت کی نمائش کرتے ہیں ، جو طبی ترقی میں رکاوٹ ہیں۔ بیٹاڈیکس سلفوبوٹیل ایتھر سوڈیم ان قوی مرکبات کی تشکیل کی اجازت دیتا ہے جبکہ ایک سازگار حفاظتی پروفائل کو برقرار رکھتے ہوئے۔
اس کی کم ٹشو جمع اور کم زہریلا خاص طور پر اونکولوجی علاج کے ل valuable خاص طور پر قابل قدر ہے جس میں بار بار خوراک کی ضرورت ہوتی ہے ، جس سے بہتر رواداری کے ساتھ اعلی علاج کی نمائش کو قابل بنایا جاسکتا ہے۔
ایمرجنسی قلبی نگہداشت اکثر تیز رفتار آغاز والی انجیکشن دوائیوں پر انحصار کرتی ہے۔ یہ قابل تحسین ناقص گھلنشیل کارڈیویکٹیو ایجنٹوں کی مستحکم تشکیل کو قابل بناتا ہے۔
بیٹاڈیکس سلفوبوٹیل ایتھر سوڈیم کی کم ہیمولوٹک سرگرمی یہ خاص طور پر سمجھوتہ کرنے والے کارڈیک فنکشن والے مریضوں کے لئے موزوں بناتی ہے جو ہیمولوٹک تناؤ کو برداشت نہیں کرسکتے ہیں۔
پیڈیاٹرک اور جیریاٹرک مریضوں کو زبانی خوراک کی شکلوں کے ساتھ اکثر چیلنجوں کا سامنا کرنا پڑتا ہے۔ سلفوبوٹیل ایتھر سائکلوڈیکسٹرین کا استعمال کرتے ہوئے انجیکشن اور مائع فارمولیشن عمر گروپوں میں قابل اعتماد منشیات کی فراہمی فراہم کرتے ہیں۔
سالماتی encapsulation بھی ناخوشگوار ذائقہ کو نقاب پوش کرتا ہے ، جس سے مریضوں کی تعمیل میں بہتری آتی ہے ، خاص طور پر پیڈیاٹرک فارمولیشن میں۔
نایاب بیماری کے علاج میں اکثر پیچیدہ فزیوکیمیکل خصوصیات کے ساتھ API شامل ہوتے ہیں۔ بیٹاڈیکس سلفوبوٹیل ایتھر سوڈیم وسیع پیمانے پر بحالی کے بغیر حل کے چیلنجوں پر قابو پانے میں مدد کرتا ہے۔
اس کا قائم کردہ حفاظتی پروفائل اور توسیع پذیر مینوفیکچرنگ یتیم منشیات کی تجارتی کاری کو تیز کرتے ہوئے ، ریگولیٹری اور ترقیاتی خطرات کو کم کرتی ہے۔
سائکلوڈیکسٹرین انکپسولیشن APIs کو جسمانی طور پر رد عمل والے گروپوں کو بچانے کے ذریعہ ہائیڈرولیسس ، آکسیکرن ، اور فوٹوڈیگریڈیشن سے بچاتا ہے۔
یہ استحکام میں اضافہ عالمی تقسیم کی حمایت کرتا ہے ، خاص طور پر ان خطوں میں جو سرد چین کے محدود بنیادی ڈھانچے کے حامل ہیں۔
ژیان ڈیلی بائیو کیمیکل انڈسٹری کمپنی ، لمیٹڈ ، سائکلوڈیکسٹرین مینوفیکچرنگ میں 26 سال سے زیادہ کی مہارت لاتا ہے۔ ہر بیچ کو متبادل کی ڈگری ، نجاست اور اینڈوٹوکسن کے لئے سختی سے تجربہ کیا جاتا ہے۔
سالانہ پیداوار کی گنجائش 200 میٹرک ٹن سے زیادہ ہے جس میں بیٹاڈیکس سلفوبوٹیل ایتھر سوڈیم ہے ، ہماری سہولیات کلینیکل اور تجارتی درخواستوں کے لئے مستحکم ، طویل مدتی فراہمی کو یقینی بناتی ہیں۔
توثیق شدہ مینوفیکچرنگ کے عمل بیچ ٹو بیچ کی تغیر کو کم سے کم کرتے ہیں ، جس سے دواسازی کے صارفین کو مضبوط اور تولیدی شکلوں کو ڈیزائن کرنے کی اجازت ملتی ہے۔

ہماری مصنوعات بڑی دواسازی کی ضروریات کی تعمیل کرتی ہیں ، جو دواسازی کے مینوفیکچروں کو عالمی منڈیوں میں مستقل معیار اور ریگولیٹری اعتماد فراہم کرتی ہیں۔
سائنسی لٹریچر اور ریگولیٹری منظوریوں کو بڑھانا جدید منشیات کی ترسیل کے نظام میں بیٹےڈیکس سلفوبوٹیل ایتھر سوڈیم کو وسیع تر اپنانے کی حمایت کرتا ہے۔
مطلوبہ محلولیت میں اضافہ اور منشیات کی رہائی کے پروفائلز کے حصول کے لئے پیچیدہ تشکیل کینیٹکس اور تھرموڈینامکس کو بہتر بنانا ضروری ہے۔
شمولیت کمپلیکس کو APIs کو درست طریقے سے مقدار کے ل ad موافقت پذیر تجزیاتی طریقوں کی ضرورت پڑسکتی ہے۔ توثیق شدہ ، مخصوص تجزیاتی تکنیک اہم ہیں۔
مطابقت کے مطالعے طویل مدتی تشکیل کے استحکام کو یقینی بناتے ہیں جب متعدد ایکسپینٹ کو مجموعہ میں استعمال کیا جاتا ہے۔
جین تھراپی ، سیل تھراپی ، اور ذاتی نوعیت کی دوا سائکلوڈیکسٹرین پر مبنی ترسیل کی ٹیکنالوجیز کے لئے امید افزا علاقوں کی نمائندگی کرتی ہے۔
سائکلوڈیکسٹرین مشتقات کنٹرول ریلیز اور بہتر استحکام کے ساتھ فکسڈ خوراک کے امتزاج کو قابل بناتے ہیں۔
ہائبرڈ سسٹم نینو پارٹیکلز کے ساتھ سائکلوڈیکسٹرین کو جوڑنے والے منشیات کی فراہمی میں نئے فرنٹیئرز کھول رہے ہیں۔
جب دواسازی کی ترقی میں ترقی ہوتی ہے تو ، بیٹاڈیکس سلفوبوٹیل ایتھر سوڈیم ایک بہترین حفاظتی پروفائل کو برقرار رکھتے ہوئے پیچیدہ تشکیل کے چیلنجوں سے نمٹنے کے لئے جاری رکھے ہوئے ہے۔ علاج معالجے کے علاقوں میں اس کی استعداد اسے اگلی نسل کے منشیات کی فراہمی کے نظام کے ل an ایک لازمی طور پر قابل عمل بناتی ہے۔
س: کیا بناتا ہے؟سلفوبوٹیل ایتھر سائکلوڈیکسٹریندوسرے حل کرنے والے ایجنٹوں سے بہتر؟
A: یہ نامیاتی سالوینٹس اور سرفیکٹنٹس کے مقابلے میں کم زہریلا ، کم ہیمولیسس ، ریورس ایبل پیچیدگی ، اور منشیات کے استحکام کو بہتر پیش کرتا ہے۔
س: متبادل کی ڈگری کارکردگی کو کس طرح متاثر کرتی ہے؟
A: اعلی متبادل محلولیت کو بہتر بناتا ہے ، لیکن زیادہ سے زیادہ کارکردگی میں توازن کو توازن پیدا کرنے کی ضرورت ہوتی ہے۔
س: کیا یہ زبانی شکلوں میں استعمال کیا جاسکتا ہے؟
A: ہاں ، اگرچہ بنیادی طور پر انجیکشن ایبلز کے لئے ڈیزائن کیا گیا ہے ، لیکن جب علاج کے فائدہ کے ذریعہ جواز پیش کیا جاتا ہے تو یہ زبانی شکلوں میں گھلنشیلتا کو بڑھا سکتا ہے۔
بیٹاڈیکس سلفوبوٹیل ایتھر سوڈیمژیان ڈیلی بائیو کیمیکل انڈسٹری کمپنی ، لمیٹڈ سے جدید انجیکشن ایبل منشیات کی تشکیل کے ل a ایک محفوظ ، مستحکم اور توسیع پذیر حل فراہم کرتا ہے۔ ہم سے رابطہ کریںxadl@xadl.comمزید جاننے کے لئے.